Baixe o exame Exame 1ª Época Matemática 12ª 2014 - MINED para imprimir.
Também podes baixar o guião de correção do exame Exame 1ª Época Matemática 12ª 2014 - MINED
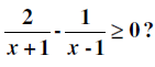
Qual é a solução da inequação
]−1;1[
]−1;3[
Esta questão pertece ao exame:
Baixe o exame Exame 1ª Época Matemática 12ª 2014 - MINED para imprimir.
Também podes baixar o guião de correção do exame Exame 1ª Época Matemática 12ª 2014 - MINED